Theo số liệu của Ngân hàng Nhà nước Chi nhánh TP. Hồ Chí Minh, tính đến ngày 31/12/2024, huy động vốn trên địa bàn TP. Hồ Chí Minh đạt 4.082 nghìn tỷ đồng, tăng 15,28%; dư nợ tín dụng đạt 3.943 nghìn tỷ đồng, tăng 11,34% so với cuối năm 2023.
“Kết thúc năm 2024, hoạt động huy động vốn và cho vay vốn, 2 hoạt động chính, bản chất và truyền thống trong hoạt động của các tổ chức tín dụng trên địa bàn TP. Hồ Chí Minh tiếp tục duy trì tốc độ tăng trưởng tích cực và hoàn thành nhiệm vụ chính sách tiền tệ”, ông Nguyễn Đức Lệnh, Phó Giám đốc Ngân hàng Nhà nước Chi nhánh TP. Hồ Chí Minh, cho biết.
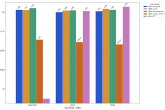
HUY ĐỘNG VỐN TĂNG TRƯỞNG CAO NHẤT TRONG 5 NĂM
Theo ông Nguyễn Đức Lệnh, hoạt động huy động vốn diễn biến tích cực, góp phần vào quá trình tăng trưởng và khả năng đáp ứng tốt nhất nhu cầu vốn tín dụng cho nền kinh tế. Đồng thời, góp phần giữ ổn định thị trường tiền tệ và hoạt động ngân hàng trên địa bàn, ý nghĩa này phản ánh và gắn liền với những kết quả nổi bật, cụ thể:
Thứ nhất, huy động vốn trên địa bàn năm 2024 đạt ngưỡng 4 triệu tỷ đồng và tăng trưởng cao nhất trong 5 năm trở lại đây, tăng 15,28%. Trong khi đó tỷ lệ này năm 2023 là 7,7%; năm 2022 là 4,6%; năm 2021 là 8,1% và năm 2020 là 14,1%.
Thứ hai, tiền gửi tiết kiệm dân cư tiếp tục ổn định, chiếm 35,5% trong tổng tiền gửi và tăng 7,92% so với cuối năm.
“Với bản chất là nguồn tiền tiết kiệm, tích lũy của người dân, nguồn tiền tiết kiệm dân cư không chỉ là nguồn vốn quan trọng, ổn định và tạo điều kiện thuận lợi cho quá trình khai thác và sử dụng vốn hiệu quả của các tổ chức tín dụng trên địa bàn, mà còn phản ánh hiệu ứng chính sách, mối liên hệ hệ quả với các hoạt động tài chính khác nhìn ở góc độ đầu tư, tiêu dùng và tiết kiệm”, ông Lệnh nhấn mạnh.
Trong đó, chính sách tiền tệ hiệu quả, sự ổn định kinh tế vĩ mô và kiểm soát tốt lạm phát, cùng dịch vụ ngân hàng chất lượng, tiện ích và an toàn, hiệu quả – là những yếu tố quan trọng thu hút nguồn tiền gửi tiết kiệm dân cư tại tổ chức tín dụng trên địa bàn trong suốt thời gian qua và trong năm 2024.
Thứ ba, sự đa dạng và khả năng ứng dụng công nghệ hiệu quả trong phát triển các sản phẩm tiền gửi: từ kỳ hạn tiền gửi linh hoạt kết hợp lãi suất áp dụng, để mang lại lợi ích tối đa cho khách hàng, cũng như đáp ứng nhu cầu của khách hàng trong thanh toán, trong việc sử dụng tiền gửi sao cho hiệu quả nhất.
“Cùng với nhu cầu về thanh toán không dùng tiền mặt và chất lượng dịch vụ là yếu tố thu hút tiền gửi của tổ chức kinh tế và cá nhân. Bộ phận tiền gửi này tiếp tục chiếm tỷ trọng cao nhất, chiếm 55,3% trong tổng tiền gửi của các tổ chức tín dụng trên địa bàn và tăng 16,8% so với cuối năm”, ông Lệnh thông tin thêm.
Thứ tư, tăng trưởng kinh tế tác động tích cực đến huy động vốn trên địa bàn. Theo đó, vốn trong nền kinh tế luân chuyển tốt hơn, quy mô nền kinh tế tăng, gắn với các hoạt động đầu tư, tiêu dùng và xuất khẩu tăng, cũng tạo điều kiện cho hoạt động huy động vốn và cho vay vốn của các tổ chức tín dụng nói chung và trên địa bàn TP. Hồ Chí Minh nói riêng tăng trưởng, gắn liền với tăng trưởng của nền kinh tế.
Bên cạnh đó, Phó Giám đốc Ngân hàng Nhà nước Chi nhánh TP. Hồ Chí Minh cho biết các tổ chức tín dụng cần tiếp quan tâm phát huy kết quả đạt được và tiếp tục phát triển hiệu quả, chất lượng dịch vụ tiền gửi, gắn với dịch vụ tín dụng và dịch vụ thanh toán để tăng trưởng ổn định, an toàn và hiệu quả, thực hiện tốt nhiệm vụ ngành trong năm 2025 trên địa bàn.
TĂNG CƯỜNG KIỂM TRA THU ĐỔI NGOẠI TỆ DỊP TẾT
Dịp Tết Nguyên đán, nhu cầu trao đổi ngoại tệ tăng cao, đặc biệt tại các khu vực trung tâm kinh tế, du lịch như TP. Hồ Chí Minh.
Để đảm bảo hoạt động này tuân thủ quy định pháp luật, ổn định thị trường ngoại hối và hạn chế tình trạng mua bán ngoại tệ trái phép, Ngân hàng Nhà nước chi nhánh TP. Hồ Chí Minh đã ban hành văn bản chỉ đạo Tổng giám đốc các tổ chức tín dụng ủy quyền, ký hợp đồng đại lý với doanh nghiệp có bàn thu đổi ngoại tệ tăng cường kiểm tra, giám sát và có biện pháp đảm bảo việc thu đổi ngoại tệ đúng quy định dịp Tết Nguyên đán Ất Tỵ năm 2025.
Cụ thể, các ngân hàng thương mại, chi nhánh ngân hàng nước ngoài được phép hoạt động ngoại hối trên địa bàn cần kiểm tra, giám sát đảm bảo đại lý thu đổi ngoại tệ thực hiện theo quy định.
“Việc này nhằm hạn chế tình trạng mua bán ngoại tệ tự do trái phép, đặc biệt dịp Tết Âm lịch 2025. Các đơn vị tuân thủ quy định về quản lý ngoại hối và thực hiện quy định về trách nhiệm của tổ chức tín dụng uỷ quyền đối với hoạt động đại lý đổi ngoại tệ, đại lý chi, trả ngoại tệ; đảm bảo các đại lý thực hiện đúng quy định, đúng hợp đồng và góp phần trong việc ổn định tỷ giá ngoại tệ, thị trường ngoại hối”, Ngân hàng Nhà nước chi nhánh TP. Hồ Chí Minh thông tin.
Đồng thời, các tổ chức tín dụng được phép hoạt động ngoại hối cần kiểm tra, kiểm soát định kỳ hoặc kiểm tra đột xuất đối với đại lý được uỷ quyền để đảm bảo hoạt động an toàn.
Ông Nguyễn Đức Lệnh cho biết trong trường hợp tổ chức tín dụng phát hiện đại lý đổi ngoại tệ có dấu hiệu vi phạm, tùy theo tính chất và mức độ vi phạm để có biện pháp xử lý thích hợp.
Bên cạnh đó, các tổ chức tín dụng cần phối hợp với cơ quan quản lý về hoạt động dịch vụ ngoại hối, hoạt động thu đổi và mua bán ngoại tệ, thông tin đến khách hàng, người dân nắm bắt rõ quy định về hoạt động này. Đồng thời, cần phổ biến hệ thống mạng lưới, địa điểm thu đổi ngoại tệ của tổ chức tín dụng để người dân và du khách cập nhật.
Nguồn tin: https://vneconomy.vn/huy-dong-von-tai-tp-ho-chi-minhdat-hon-4-trieu-ty-dong-trong-nam-2024.htm

