Công ty Đấu giá Hợp danh số 5 – Quốc gia vừa thông báo đấu giá quyền sử dụng đất đối với 27 thửa đất ở tại điểm YB2, thôn Yên Bài, xã Tiến Thắng, TP. Hà Nội. Phiên đấu giá dự kiến tổ chức vào ngày 21/3/2026, hồ sơ tham gia được tiếp nhận từ 5/3 đến 18/3/2026…
Theo thông báo, đơn vị có tài sản
đấu giá là UBND xã Tiến Thắng. Cơ quan này giao Ban Quản lý dự án đầu tư – hạ tầng
xã Tiến Thắng tổ chức thực hiện việc đấu giá quyền sử dụng đất; Công ty Đấu giá
Hợp danh số 5 – Quốc gia là đơn vị trực tiếp tổ chức cuộc đấu giá.
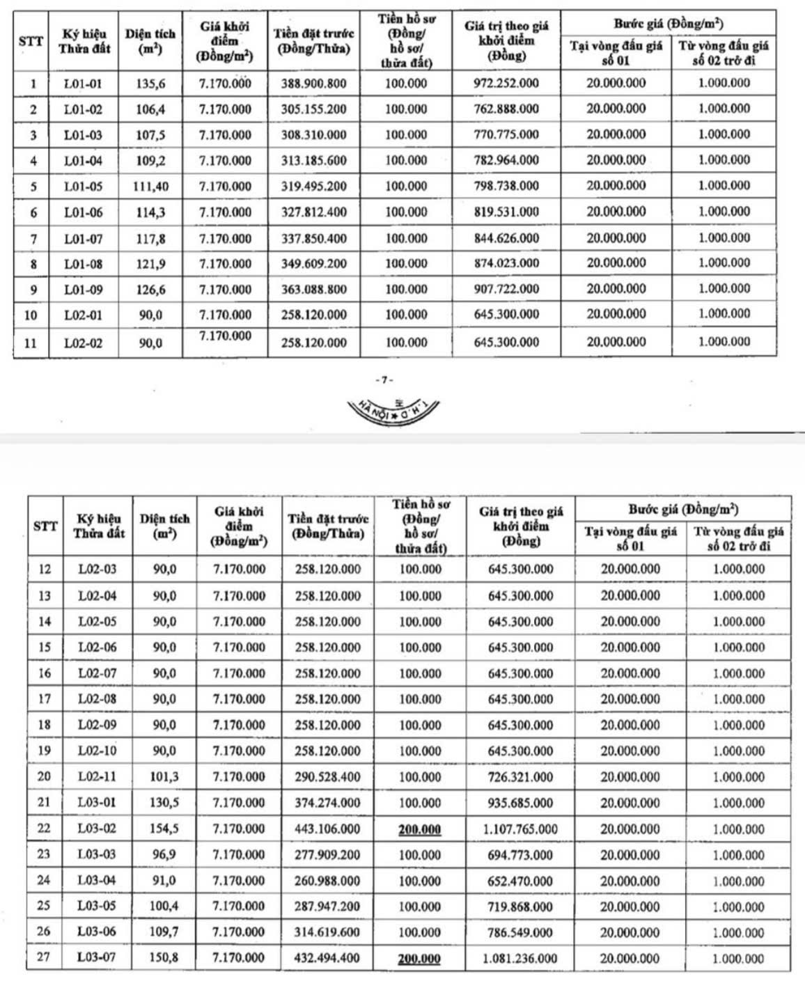
Khu đất đưa ra đấu giá gồm 27 thửa
với tổng diện tích 2.885,8 m2. Diện tích mỗi thửa dao động từ 90m2 đến 154,5m2.
Giá khởi điểm được xác định là 7,17 triệu đồng/m2. Các thửa đất có mục đích sử
dụng là đất ở, thời hạn sử dụng lâu dài. Nhà nước thực hiện giao đất có thu tiền
sử dụng đất theo quy định.

Cuộc đấu giá tổ chức theo hình thức
bỏ phiếu trực tiếp nhiều vòng tại phiên đấu giá, tối đa 2 vòng, phương thức trả
giá lên. Bước giá áp dụng cho vòng đấu giá số 1 là 20.000.000 đồng/bước giá/m2;
vòng số 2 là 1.000.000 đồng/bước giá/m2. Trong trường hợp tại vòng đấu giá thứ
2 có từ hai người trở lên trả mức giá hợp lệ cao nhất bằng nhau và có ít nhất một
người có nhu cầu tiếp tục trả giá, cuộc đấu giá sẽ tiếp tục tổ chức theo quy định.
Thời gian bắt đầu tiếp nhận hồ sơ
tham gia đấu giá từ 8h ngày 5/3/2026 đến hết ngày 18/3/2026. Người đăng ký tham
gia đấu giá có thể đăng ký đấu giá nhiều thửa đất, với điều kiện phải mua hồ sơ
tương ứng số lượng thửa đất đăng ký. Khoản tiền đặt trước là 20% giá trị thửa đất
đấu giá theo giá khởi điểm đã được phê duyệt.
Dự kiến, phiên đấu giá diễn ra
vào 8h30 ngày 21/3/2026 tại Hội trường UBND xã Tiến Thắng, địa chỉ thôn Văn
Lôi, xã Tiến Thắng (Hội trường UBND xã Tam Đồng cũ).
Người tham gia đấu giá yêu cầu có
mặt trước ít nhất 60 phút để hoàn tất thủ tục vào phòng đấu giá. Trường hợp
tham gia thông qua hình thức ủy quyền, người được ủy quyền cần xuất trình văn bản
hoặc giấy ủy quyền hợp lệ, được công chứng theo quy định pháp luật, trong đó, nêu rõ nội dung và phạm vi ủy quyền.
Ngoài ra, trong cùng một phiên đấu giá, việc
tổ chức đấu giá được thực hiện theo từng thửa đất. Mỗi cá nhân chỉ đại diện cho
một đối tượng tham gia đấu giá. Nếu đã là người tham gia đấu giá đối với một thửa
đất tại phiên đấu giá thì không được nhận ủy quyền của đối tượng khác để cùng
tham gia đấu giá đối với chính thửa đất đó.
-Hoàng Bách
Nguồn tin: https://vneconomy.vn/ha-noi-du-kien-dau-gia-27-thua-dat-tai-xa-tien-thang-vao-ngay-213.htm
